Senin, 01 November 2010
Minggu, 24 Oktober 2010
ILUMINASI ( PENCAHAYAAN)
Iluminasi disebut juga model refleksi atau model pencahayaan. Illuminasi menjelaskan tentang interaksi antara sumber cahaya dan permukaan sumber cahaya. Pencahayaan model memperhitungkan setiap titik individu pada permukaan dan sumber cahaya yang langsung mencerahkan itu. Optical model adalah model yang menggambarkan begaimana vektor-vektor yang berhubungan dengan pencahayaan dinyatakan. Dalam optical model ini terdapat 4 macam vektor, yaitu :
1. Vektor cahaya ( light vector ), yaitu vektor yang menyatakan arah cahaya yang datang.
2. Vektor normal pada face.
3. Vektor pantilan ( reflection vector), yaitu vektor yang menyatakan arah pantulan cahaya stelah cahaya mengenai face.
4. Vektor pandangan ( view vector ), yaitu vektor yang menyatakan arah pandanggan mata.
Macam-macam optical model :
Diffuse Refleksi
Kebanyakan benda-benda di sekitar kita tidak memancarkan cahaya sendiri. Sebaliknya mereka menyerap siang hari, atau cahaya yang dipancarkan dari sumber buatan, dan mencerminkan bagian dari itu. Di sini, cahaya yang mencapai permukaan akan tersebar merata ke segala arah. Ini berarti bahwa jumlah cahaya seperti yang diamati oleh penonton adalah independen dari lokasi penonton.
Spheres berbayang menunjukkan besarnya variasi dalam komponen menyebar di atas permukaan lingkup masing-masing. Dari kiri ke kanan, meningkatkan jumlah refleksi difus cyan.
Dimana:
Id = Iskd MAX(cos α,0)
cos α = L . N
Keterangan : Id : Intensity of the diffuse component
Is : Intensity of the Light Source
kd : Diffuse reflection coefficient
Specular Refleksi
Banyak permukaan dunia nyata yang mengkilap, sehingga bila dilihat dari sudut tertentu mereka dapat dilihat memantulkan cahaya. Permukaan glossy mencerminkan proporsi yang tinggi cahaya, sedangkan sisanya adalah hasil dari refleksi difus. Refleksi ini glossy atau mengkilap disebut refleksi specular.
Spheres berbayang menunjukkan besarnya variasi dalam komponen specular di atas permukaan lingkup masing-masing. Dari kiri ke kanan, meningkatkan jumlah refleksi specular.
Model specular reflection dapat dinyatakan dengan:
Isp = Is kspMAX(cosnβ,0)
cosβ = R.V
R = 2N(L.N)-L
Isp : Intensity of the specular reflection
Is : Intensity of the Light Source
ksp : Specular reflection coefficient
n : constans from experiment (1--200)
R = 2N(L.N)-L
L.N = R.N, R= aL+bN
L.N = (aL+bN).N
b = ( 1 - a )L.N
R = aL+{(1-a)L.N}N
R2 = 1,(L2=1,N2=1) then
a = ± 1 Ã a = -1
Ambient Refleksi
Refleksi ambient adalah hasil antar-refleksi tertentu, misalnya bahwa sebuah bola 2D terlihat 3D. Hal ini mendekati refleksi difus global.
Spheres berbayang menunjukkan besarnya variasi dalam komponen ambien di atas permukaan lingkup masing-masing. Dari kiri ke kanan, meningkatkan jumlah refleksi ambien cyan.
Sumber Pelopor Ambient:
· Tidak ada karakteristik ruang atau arah
· Jumlah insiden cahaya ambient pada setiap benda adalah konstan untuk semua permukaan dalam adegan.
· Sebuah cahaya dapat memiliki warna.
· Jumlah cahaya ambient yang dipantulkan oleh suatu objek tidak tergantung dari posisi objek atau orientasi.
· Sifat permukaan digunakan untuk menentukan berapa banyak cahaya dipantulkan.
Model Ambient dapat dinyatakan dengan :
Hukum Lambert Cosine
Hukum Lambert adalah model optik yang menghubungkan diffuse scaterring dan peristiwa ambient secara bersama-sama sehingga diperoleh model sebagai berikut:
CL = CS{kdMAX(cosα,0)+ka}
cosα = L . N
CL : Reflection Color
CS : Surface Color
Ideal berdifusi reflektor = reflektor Lambertian
Ideal berdifusi reflektor memantulkan cahaya menurut hukum kosinus Lambert, (ini kadang-kadang disebut reflektor Lambertian).
Hukum: tercermin energi dari area permukaan kecil dalam arah tertentu adalah sebanding dengan cosinus sudut antara yang arah dan permukaan normal
Hukum Lambert menyatakan bahwa energi yang tercermin dari luas permukaan kecil dalam arah tertentu adalah sebanding dengan cosinus sudut antara yang arah dan permukaan normal. hukum Lambert menentukan berapa banyak energi cahaya yang masuk dipantulkan.
intensitas Tercermin adalah independen dari arah melihat, namun tergantung dari sumber orientasi.
Ingat bahwa jumlah energi yang tercermin dalam satu arah konstan dalam model ini. Dengan kata lain, intensitas tercermin tidak tergantung dari arah melihat.
Intensitas, bagaimanapun, tergantung pada orientasi sumber cahaya relatif terhadap permukaan, dan inilah properti yang diatur oleh hukum Lambert.
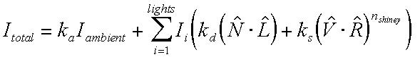
Model Pencahayaan Phong
Phong model adalah model optik yang lengkap, dimana kejadian diffuse scattering, specular reflection dan peristiwa ambient digabungkan menjadi satu model. Phong model ini merupakan model standar yang digunakan untuk menyatakan optical view pada grafika komputer. Model Phong dinyatakan dengan:
Istilah cos pencahayaan specular Phong's bisa diganti dengan menggunakan hubungan berikut.
· V: Viewer vektor satuan
· R: reflektansi cermin vektor satuan
Vektor V adalah vektor satuan dalam arah penampil dan vektor R adalah reflektansi arah cermin.
R vektor dapat dihitung dari arah cahaya yang masuk dan permukaan normal seperti yang ditunjukkan di bawah ini. Gambar berikut mengilustrasikan hubungan ini.
Blinn & Variasi Torrance
Jim Blinn memperkenalkan pendekatan lain untuk komputasi seperti pencahayaan Phong berdasarkan karya Ken Torrance.
Fungsi iluminasi-nya menggunakan persamaan berikut:
Dalam persamaan ini sudut dispersi specular dihitung dengan seberapa jauh permukaan normal adalah dari vektor membagi dua arah cahaya yang masuk dan arah melihat.
Kita harus mempertimbangkan bagaimana pendekatan ini dan yang sebelumnya berbeda.
N: Normal untuk rencana nyata
H: Normal untuk pesawat yang akan menciptakan pemikiran yang lebih tinggi terhadap penampil
Keuntungan: sudut (N, H) akan selalu tetap antara 0 dan PI / 2.
Metode Shading
Flat Shading
Adalah satu pencahayaan perhitungan untuk setiap aspek / polygon. Metode shading yang paling sederhana hanya berlaku satu perhitungan pencahayaan untuk setiap primitif. Teknik ini disebut shading konstan atau datar. Hal ini sering digunakan pada primitif poligonal.
Perhitungan dilakukan pada centroid
Pencahayaan dihitung untuk hanya satu titik di segi tersebut. Biasanya centroid tersebut. Untuk segi cembung centriod diberikan sebagai berikut:Facet Shading
Shading ini hanya hipotesis kerja, yang biasanya tidak digunakan.
Bahkan ketika persamaan pencahayaan yang diterapkan pada setiap titik dari segi sifat sifat poligon masih jelas. Untuk mengatasi keterbatasan ini normals diperkenalkan pada setiap vertex.
· Biasanya berbeda dari poligon normal
· Digunakan hanya untuk naungan (tidak backface perhitungan geometris pemusnahan atau lainnya)
· Lebih baik mendekati "sebenarnya" permukaan
· Mengasumsikan poligon adalah pendekatan sesepenggal dari permukaan riil (C0)
· Normals memberikan informasi tentang pesawat singgung di setiap titik (C1)
· Biasanya rata-rata singgung tetangga segi
Gouraud Shading
Metode ini Shading Gouraud menerapkan model pencahayaan pada subset poin permukaan dan interpolates intensitas titik-titik yang tersisa di permukaan. Dalam kasus polygonal mesh model pencahayaan biasanya diterapkan pada setiap vertex dan warna di pedalaman segitiga secara linear interpolateded dari nilai-nilai ini vertex.

Interpolasi linear dapat dilakukan dengan menggunakan metode persamaan pesawat dibahas dalam ceramah tentang poligon rasterizing. Perhatikan bahwa artefak segi masih terlihat.
Gouraud shading adalah dengan tidak berarti sempurna, tetapi bisa membuat perbedaan nyata atas poligon teduh datar Masalah dengan Gouraud naungan terjadi saat Anda mencoba untuk campuran perhitungan sumber cahaya dengan poligon besar.
Bayangkan Anda memiliki poligon besar, diterangi cahaya dekat's pusat ituIntensitas cahaya di setiap vertex akan sangat rendah, karena mereka jauh dari cahaya. poligon akan diberikan cukup gelap, tapi ini salah, karena pusat harus terang benderang. Anda dapat melihat hal ini terjadi di game Descent. Memecat flare sekitar, khususnya ke sudut, menyebabkan lingkungan untuk menerangi. Tapi coba menembakkan flare ke tengah-tengah dinding datar besar atau lantai, dan Anda akan melihat bahwa ia memiliki efek yang sangat sedikit.
Gouraud shading can look quite acceptable. Namun, jika Anda menggunakan sejumlah besar poligon kecil, dengan sumber cahaya yang relatif jauh, shading Gouraud bisa melihat cukup dapat diterima. Infact, semakin kecil poligon, semakin dekat datang ke Phong shading.
Gouraud Shading: Dinamai setelah penemunya, Henri Gouraud yang mengembangkan teknik ini pada tahun 1971 (ya, 1971). Ini adalah jauh dari jenis yang paling umum digunakan dalam naungan konsumen grafis 3D hardware, terutama karena kualitas visual yang lebih tinggi dibandingkan komputasi yang masih sederhana tuntutannya. Teknik ini mengambil nilai-nilai pencahayaan pada masing-masing segitiga tiga sebuah simpul, kemudian interpolates nilai-nilai di seluruh permukaan segitiga.. Gouraud shading sebenarnya interpolates pertama antara titik dan memberikan nilai sepanjang tepi segitiga, maka interpolates di scan lurus berdasarkan nilai tepi persimpangan diinterpolasi. Salah satu keuntungan utama untuk Gouraud adalah bahwa hal itu menghaluskan keluar tepi segitiga pada permukaan mesh, memberikan benda yang realistis penampilan yang lebih. Yang merugikan Gouraud adalah bahwa efek secara keseluruhan menderita pada model segitiga-hitungan yang lebih rendah, karena dengan simpul sedikit, shading detail ( khusus puncak dan lembah dalam intensitas) hilang. Selain itu, shading Gouraud kadang-kadang kehilangan detail highlight, dan gagal untuk menangkap efek sorotan.
Sumber :
Basuki. Achmad dan Ramadijanti. Nana., Grafika Komputer Teori dan Implementasi, Penerbit ANDI,2006
Langganan:
Komentar (Atom)

























